- 
                
Numero contenuti
1391 - 
                
Iscritto
 - 
                
Ultima visita
 
Tutti i contenuti di Gaspy
- 
	
	
				Come migliorare e ridurre le foto
Gaspy ha risposto a baldacci nella discussione Fotografia digitale e tradizionale: arte e tecnica
Facciamo ancora un esempio quattro diverse esposizione e risultato finale corretto (io uso Corel Photopaint) - 
	Vero!, ma, come al solito ilvelopuò essere evidente, o......scomparso. Gaspy
 - 
	Beh. Se dico l'habitat diventa facile per tutti. Trovato esclusivamente sotti Cedrus sp. Gaspy
 - 
	
 - 
	Non è semplice peché le foto dipendono dalla luce, dall' etrà dei funghi ed anche dalla loro variabilità. Ecco peché bisogna guardare le spore e le reazion chiiche. In questo caso la reazione al Lugol era porpora (ma il TL4 non era stato provato. Strano, ma non trovo nella letteratura test con il lugol al C. infractus. Esistono motissime altre reazioni Carne + basi grigio o nullo AgNO3 verde nero lamelle + AgNO3 verde nero cute + basi grigio-blu AgNO3 verde nero Acidi giallo Guaiaco positivo sulfoformolo giallo metolo viola Ecco perché sulle foto potremmo discutere all' infinito ognuno tenendosil la propria opinione Gaspy
 - 
	
 - 
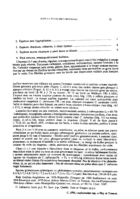
	Nel descrivere il C. infractus Fries dice <<Pileo levi virgato....stipi5te olivaceo-fuscescens, apice fumosus, raro violascens> per anfractus (considrato una varietà <<pileo sicco nitido (a proposito di quello postato da Enzo) stipite sordido albicans apice violaceo-cortinatoque. L'Henry parlando del gambo<< bianco-violaceo a bianco glauco talvolta anche giallognolo>>. Il funmgo in termini presenta un cappello voila scuro e fortemente fibilloso ed un gambo decisamente viola porpora in ogni parte: si tratta del C. occidentalis var.obscurus Gaspy P,S, quest'altra foto (determinato da Moser) ha i colori sfalsati perché vecchio di due giorni. Era stato originalmente classificato come purpurascens. Il colore del cappello era originalmente violaporpora.
 - 
	
 - 
	E'chiaro che il secondo è un infractus tipico (lo sa anche Enzo!) Il primo è indiscutibilmente indecifrabile, perché troppo rinsecchito. E tuttavia non vedo Telamonia con quei colori, con quella morfologia del gambo e con quel colore glauco-grigiastro al sommo. Ma escludere tassativamente il Phlegmacium non direi (ecco perché ho obbiettato al Cortinarius s.l.). Anch'io mi trovo spesso perplesso davanti un infractus atipico, tant'è che lo assaggio! Se Enzo l' avesse assaggiato........ Gaspy
 - 
	A me pare che ci sia gusto a discutere sul sesso degli angeli. Penso che tu non abbia un'opinione giusta nè sul mio atteggiamento nès ulle mie scelte. Non solo non ho premura di giungere alle conclusioni, ma mi servonop ben più che semplici congetture basate sul DNA per decidere sulla tassonomia. Non ho mai detto (anche se molti lo hanno pensato) che Telamonia fossero un altro genere. Diversa è la posizione degli Obtusi che non vedo che cosa abbiano in comune con le Telamonia. Nè dirò che i Myxacium sono diventati Phlemacium, ma semplicemente che i Myxacium sono Myxacium non perché sono tutti glutinosi ma perché sono affini al typus C. collinitus: se non lo sono non c'è ragione di chiamarli Myxacium. Che i Calchroi fossero indipendenti dai Phlegmacium lo scrivevo prima che la cosa fosse confermata dal DNA (per via dei pigmenti particolari). Per anni ritenevo che Dermocybe fosse un genere (ed ero in buona compagnia). Il DNA è stato dalla parte del sottogenere ed io l'ho accettato. Il sottogenere Orellani ho dimostrato (il DNA era soltanto una conferma marginale) che devono essere tale perché non hanno affiniotà con nessun altro gruppo. Ma se ti sei mai imbattuto con Cortinarius dell' altro emisfero vedresti che ci sono Dermocybe asciutte e glutinose, igrofane e no, Myxacium glutinosi e solo con il cappello glutinoso, Telamonia glutinose, agariformi, semigasteroidi. gasteroidi ed allora devi cercare altri elementi se non vuoi schematizzarti per ciò che si mostra troppo evidente e troppo semplice. Se si mostra la luna lo sprovveduto guarda il dito. Ci voleve il DNA per accorgersi che i Coprinus avevano le spore rosa come gli Agareicus e che ciò che si chiamava Coprinus erano Psatyrella? L' uso di taxa parafiletici non è giusto, ma crea poca confusione. L'uso di taxa polifiletici invece crea tante tassonomie individuali soggettive e superabili ogni giorno. Inoltre penso che lo schema sistematico debba essere costruito giorno per giorno non appena si scoprino nuove cose con la dovuta ragionevolezza (e nontanto per essere i primi arrivati) Basti vedere quante classificazioni tassonmiche esistono nei nostri contemporanei. Ci si confonde tra chiave dicotomica e sistematica gerarchica. E aggiungerò che Darwing veniva deriso quando avanzava le sue tesi, ma senza di esse crederemmo ancora che l'uomo è stato creato dall' argilla. E poi odio pensare con la testa degli altri: so sbagliare da solo! Gaspy
 - 
	Certo viene sinonimizzato secondo Melot C. ignobilis Karsten 1889 C. instabilis Karsten 1889 Sec. Brandrud 1987 : C. INTENTUS Fries 1838 C. saturatus Lange 1938 - C. argutiformis Henry 1961 C. tumidipes Moser 1975 in Moser & Horak (sinonimizzato con variipes daMoser 1983) C. subcompar Bohus 1970 ex Bohus 1979 ? C. vespertinus (Fries 1821) Fries 1838, Moser & Jülich 1986, nec Fries ? C. intentus Fries 1838, sarebbe prioritario. e poi ci sono altre sinonimizzazionei ad esempio C. intentus secondo Brandrud 1987, SMF 103-3 : 252 C. argutiformis Henry 1961 (non sec. Moënne-Loccoz & Reumaux) C. variipes Henry 1977 (descr. Henry et icones Moser & Jülich 1986) C. tumidipes Moser 1975 in Moser & Horak (sinonimia di C. variipes seguita da Moser) C. saturatus Lange C. subcompar Bohus 1970 ex Bohus 1979 C. vespertinus Fries ss. Moser & Jülich 1986, nec Fries (sinonimia possible) secondo Melot 1987, SMF 103-2 : 28, C. variipes Henry (= tumidipes Moser inedit) C. saturatus Lange 1938 secondo Brandrud & al., 1994, CFP 3, Pl. C 41 (non P. Reumaux in Bidaud & al.): Cort. vespertinus (Fr.: Fr.) Fr., Phlegmacium intentum (Fries 1838) Ricken 1912 e chi più ne ha più ne metta. A forza di leggere tante buffonate ho finto di usare il mio metro. tra l' altro C.vespertinus ed intentus hanno il gambo cilndrico, il primo è decisamente giallo e piutosto picolo ed il secondo giallo bruno. Melot e compari hanno il vizio di sinonimizzare tutto, molto speso di rimangiarsi il tutto ed inoltre in Europa mi accorgo che lasciano il tempo che trovano. Secondo me il C. variipes è ben caratterizzato. Si può discutere se esistano specie descritte in precedenza che abbiano la prorità nomemnclatoriale, ma conuno studio serio e completo. Il metodoMelot non mni convince. Gaspy P.S. C'è chi lo ritiene un Phlegmacium asciutto, un Myxacium degli Ocroleuci o una Telamonia peché asciutto: tutto ciò ha senso?
 - 
	Mi dispiace per Brisa, Russula lo conosce bene. E' un Phlegmacium asciutto, raro bello e nche con varietà. Io era la prima volta che lo vedevo salvo che in foto. La caratteristica più evidente è il grosso bulbo attenuato iun bsso (rapiforme) Gaspy P.. C. badioatus fa parte dei Patibiles (=Variecolores) ma più èprecisamente di quel gruppo con cappellomolto scuro con (ma scarso) o senza presenza di violetto.
 - 
	Beato te che non ne imbrocchi una: quando cominciai con i Cortinarius li imboccavo tutti,perché non avevo con chi confrontarmi. Poi ho avuto il confronto, ho fatto le mie brutte figure, ho acquisito letteratura. Oggi sbaglio molto di più, ma almeno sono in grado di discutere. Circa la posizione tassonomica è dal 1997 che moltissimi lavori e non solo con il DNA hanno dimostrato che la glutinosità è un elemento tassonomico di scarsissimo valore e l’ aveva scritto anche Moser prima di morire. Un po’ come volessimo fare specie diverse negli umani per i capelli ondulati e biondi e bruni e crespi o neri e lisci. Del resto Russula ha letto su Micologia Europea il mio commento a proposito dell’ inserimento fatto da Consiglio sul C. bisporiger nei Fulvi. Ho detto che ciò che in Australia è una Dermoybe non può diventare un Phlegmacium in Europa, soltanto perché in Europa non ci sono Dermocybe viscose. Diviene assurdo negli anni duemila continuare a fare della tassonomia gerarchica guardando solo l’ orto di casa propria. Circa i Myxacium, l’ Atlas des Cortinaires li considera Phlegmacium nel 1990, ma così fa la Seidl, massima esponente del sottogenere, così era già scritto per il C. rotundisporus nel 1997 (quindi prima dell’ avvento del DNA). Se poi, per vendere libri, qualcuno insiste ad usare criteri meccanici e totalmente ascientifici, faccia pure, io no. Gaspy
 - 
	Il C. delibutus ha ik cappello giallo citrino o giallo con sfumature olivacee.. Ha sfumature violette sul gambo,ma pallide e solo nel quarto superiore. Le sfumaturee rossastre in centro ed oloivacee in periferia sono tipo che del C. epipoleus Il gruppo salor ha il violetto più ricco ed esteso sul gambo Gaspy
 - 
	Questo è più difficile. La foto è un montqggio, dato che il fungo erq nelle stesse condizioni del C. limonius. Qui è riuscita meglio. Gaspy :biggrin: P.S. ora vado in fisioterapia: vediamo al ritorno chi azzarda la risposta.
 - 
	
 - 
	Non è un Myxacium, ma n Phlegmacium del gruppo del salor. Potrebbe essere il C. epipoleus o il C. subglutinosus Gaspy
 - 
	Caro Brisa, mi hai fatto sorridere, perché questo era un gioco di prestigitazione: sapevo che qualcuno sarebbe caduto nel trabbocchetto, perché quando Gaspy mostra un ocrosporeo si deve trattare di Cortinarius. Invece era l'Hebeloma birrum (ma confesso che stola piogia battente c'ero cascato anch'io!) Gaspy
 - 
	Esatto! Purtroppo mi sono trovato a Tolmino in condizioni drammatiche per fotografare, date che mancava muschio, eravamo in un capannone e la luce era falsata dalle tavole (rosse) Ho fotografato come potevo e poi ho trasferito i funghi in uno sfondo che ho in memoria. Circa la posizione sistematica, i Limonei sono con tutta probabilità un sottogenere biemisferico separato dagli altri. Una specie trovata in N. Zelanda era stata scambiata da Soop per un Gymnopilus. Si tratta di funghi dal colore rossiccio o fulvo misto con giallo o aranciato, non tutti con sostanze fluorescenti. Il numero limitato di specie e la presenza biemisferica fa supporre ub gruppo obsoleto contemporaneo agli Orellani, Armillati, Olivaceofusci e Cortinarius s.s. Gaspy P.S. Quando ho erroneamente scritto Telamonia avevo in mente il C. gentilis!!!
 - 
	Scusate, ma mi è venuto in mente che non si tratta di una Telamonia (un mio qui-pro-quo), ma non è neppure una Leprocybe se non al senso del Moser. Gaspy
 - 
	Ne abbiamo discusso a lungo in M.E. ecco la risposta di Gminder "omissis Bonjour, je doit admettre que je n'ai jamais vue des tels grisâtres olivaceifusci que cels de toi et de Bruno (A5100800). Voilà deux recoltes sous Fagus et Carpinus. J'ai trouvé cet espéce aussi lors du Journée Phocéennes en Aix-en-Provence jusque avant la JEC 2002 à Toulon sur l'île de Porquerolle sous chênes verts. La ils etaient encore plus vif verde-jaunâtre. Les C. olivaceofuscus que je trouve ici sont très semblable a Cortinarius venetus et sont a differencier presque seulement par les messures des spores. Mais - la couleur "olivaceo-fuscus" laisse penser mieux à les collections grisâtres de toi et Bruno que a cels de verde-jaunâtre vif .... Amicalement, Andreas -----Ursprüngliche Nachricht----- Von: Lamoureux-Rocheleau [mailto:louise.rocheleau@sympatico.ca] Gesendet: Sonntag, 22. Januar 2006 01:08 An: mycologia-europaea@cru.fr Betreff: Re: [M. E.] Cortinarius olivaceofuscus :-) Ici une collection du Québec, en montagne, sous Fagus grandifolia avec Quercus rubra pas loin (mais aucun charme dans ce boisé). Spores 6-7 (-7,5) X 3,8-4,5 µm. Yves Lamoureux Canada > "B. Gasparini" a écrit : > > Ici et dans le prochaine message deux récoltes du Cortinarius > olivaceofuscus. Jusqu’ici rien de nouveau. > > Le spores de les deux récoltes sont, toutefois > > A5100800 (sous charmes)=(4,5-) 5,6 – 6,5 (-7,3) x 3,9 – 4,6 µm, Q. > =1,3 – 1,6 > > A5110110 (sous chênes verts) 5,4 – 6,7 x 4 – 4,8µm, Q. =1,2 – 1,6. > > A quelques uns trouvé ì’espèce avec de spores si petites ? > > Amicalement > > Bruno Gasparini > > omissis" Come vedete , non basta una foto per una determinazione corretta: ce ne sono con e senza umbone, verde-blu e gialli: i contenuti chimici sono ben diversi!!! Le tre raccolte dello scorso autunno le ho fatte analizzare chimicamente perché dubitavo essere delle Leprocybe
 - 
	si ma il fungo è vero. Gaspy
 - 
	Ma non era primaverile! Gaspy
 - 
	
 - 
	
 
APasseggionelBosco ODV
